The force component adding to torque or drag is a vector product of rotational speed and downward (or upward) speed of the drill string. This is depicted in the following schematic;

Where:
Va : Axial (downward or upward) velocity
Vc : Circumferential (rotational) velocity
Vr : Resultant velocity
As a result the axial drag force and circumferential drag force are corrected in relation to the axial and circumferential speeds;

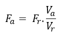
Corrected axial drag force:

Corrected circumferential drag force:

As a result, rotational speed will cause a reduction in drag force but at the cost of an increased torque force. Hence the reason for taken the rotating off bottom (ROB) weight as string weight during operations. With no axial speed (i.e. string stationary), all drag force is resulting in torque and as such, the indicated hookload is the actual string tension, not influenced by drag.
Copyright © 2023 Softdrill NL